bạn và tôi

Đăng ký

Bài đăng
Atom
Bài đăng
Tất cả nhận xét
Atom
Tất cả nhận xét

Thứ Ba, 7 tháng 6, 2011

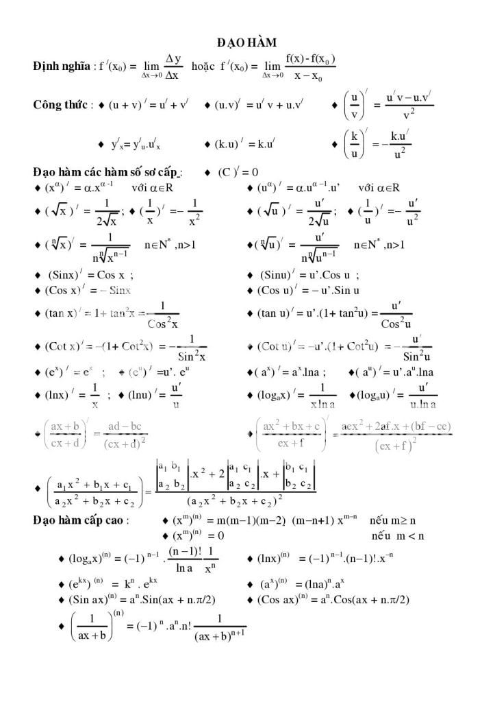
đạo hàm của hàm số

Người đăng: quocphuongbk vào lúc 13:47 Không có nhận xét nào:
Gửi email bài đăng nàyBlogThis!Chia sẻ lên XChia sẻ lên FacebookChia sẻ lên Pinterest
Nhãn: ôn thi đại học môn toán đại
Bài đăng mới hơn Bài đăng cũ hơn Trang chủ
Đăng ký: Nhận xét (Atom)

xin chào đến với facebook của tui

Love Story | Tạo phù hiệu của bạn

các bài đăng

  • có thể bạn chưa biết (1)
  • có thể bạन chưअ biết (1)
  • matlab (2)
  • ôn thi đại học môn toán đại (1)
  • ôn thi đại học môn toán hình (1)
  • vui cười (2)

a

tên tiện ich

nội dung tiện ích 1

Trang

  • Trang chủ

my blog


my yahoo blog 360 plus

giới thiệu bản thân

Ảnh của tôi
quocphuongbk
ninh bình, Vietnam
sinh viên lớp điện 2 ĐH Bach Khoa hn, mong muốn giao lưa kết ban, tên đầy đủ phạm quốc phương (1991) sđt 01272838566
Xem hồ sơ hoàn chỉnh của tôi

Lưu trữ Blog

  • ►  2015 (16)
    • ►  tháng 12 (16)
  • ▼  2011 (1)
    • ▼  tháng 6 (1)
      • đạo hàm của hàm số
  • ►  2010 (11)
    • ►  tháng 11 (1)
    • ►  tháng 10 (3)
    • ►  tháng 8 (7)

web side hay

  • my blog yahoo

thăm dò ý kiến

ghé thăm blog của mình bạn thấy thế nào


khá đẹp 8->
cũng tạm được o:-)
xấu nhưng nội dung được :-s
đẹp nhưng nội dung chưa được :)
ý kiến khác,:-o

View Results

Create a MySpace Poll

my slide


Chủ đề Cửa sổ hình ảnh. Hình ảnh chủ đề của micheldenijs. Được tạo bởi Blogger.